-
Q.E.D.부연설명 - 정보와 상식 2024. 4. 25. 00:10300x250

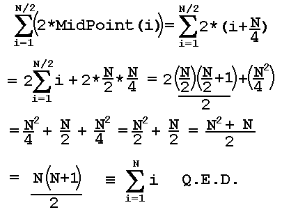
Q.E.D.(quod erat demonstrandum). 수학에서 증명을 마칠 때 쓰는 기호이다. 본 뜻은 라틴어로 직역하면 "이것이 보여저야 할 것이었다." 이다.
가토 모토히로의 추리만화 'Q.E.D. 증명종료' 역시 여기서 제목을 따왔다. 주인공인 토마 소우는 비범한 추리 능력을 가지고 있는데 MIT의 수학과를 15세에 나이로 수석 졸업한 천재라는 설정이다.
300x250'부연설명 - 정보와 상식' 카테고리의 다른 글
마셔도 안 취하는 술 센티아 (1) 2024.04.26 암벽 등산중에 흑곰의 습격을 받은 남자 (0) 2024.04.25 동시 비밀번호 (0) 2024.04.24 링 웜(ring worm) (0) 2024.04.24 당뇨병 환자의 인식 개선 및 여행시 유의사항 (0) 2024.04.23